
© Whole Foods magazine
June 2007
Back to the Coenzyme Q-10 Basics: Part 1
An interview with Drs. Fred Crane, Gian Paolo Littarru and Stephen Sinatra
By Richard A. Passwater, Ph.D.
We have discussed coenzyme Q-10 (CoQ10) frequently in this column. There are several reasons for this emphasis, but so far, we have covered primarily heart health. There will be more to come on cancer and other health benefits.
We have had dialogs with world experts on CoQ10 including Dr. Fred Crane, the discoverer of CoQ10; Dr. Bill Judy, long-time colleague of Dr. Karl Folkers and world-leading authority on measuring CoQ10 bioavailability; Dr. Stephen Sinatra, the leading educator on CoQ10 and cardiovascular health; and Dr. Emile Bliznakov, eminent CoQ10 researcher and author of The Miracle Nutrient: Coenzyme Q10.
Recently, I have received numerous requests for some clarification on CoQ10 biochemistry. So, it’s back to the basics. I have asked the world’s leading CoQ10 experts to answer some of your questions.
In my January 2002 column, I mentioned that we would be discussing CoQ10 with the world’s leading expert, Professor G.P. Littarru. Professor Littarru joins us now, along with Drs. Crane, Sinatra and Judy.
CoQ10 is of increased interest because of a better understanding of its health benefits. CoQ10 is used by cells in a process known variably as aerobic respiration, aerobic metabolism, oxidative metabolism, cell respiration, electron transport chain or electron transport system. Some scientists see good evidence that improving our cellular levels of CoQ10 has even additional health benefits than are generally known. However, it has been difficult to increase cellular levels of CoQ10 because it is poorly absorbed.
Manufacturers continually strive to improve the absorption and bioavailability of CoQ10 supplements. There have been several major advances in bioavailability over the years and there will be even more in the future. New, “improved” CoQ10 products appear on a regular basis and manufacturers should be congratulated for their innovations.
Often, these advanced products necessitate increased cost. At the same time, the cost of basic CoQ10 products has decreased, which has allowed higher potency products to appear at reasonable costs. The greater choice of products also introduces some confusion as to which products are best suited for which segment of the population. They all have a place.
Most healthy consumers want to take the form of CoQ10 that will provide the highest amount of CoQ10 in the blood for a given cost. How many milligrams will reach my bloodstream per dollar of product cost? Is it more beneficial to take low-dose conventional forms of CoQ10 two or three times throughout the day or more advanced forms once a day?
Some consumers, because of their age and/or illness, are not as concerned about the cost as much as they are concerned about how high they can raise their blood levels and cellular levels of CoQ10.
There are general answers to these questions, but the best answer lies in the actual measurement of a person’s cellular and blood CoQ10 levels. The next best answer is to use comparison studies wherein the CoQ10 forms are directly compared in head-to-head solubility and bioavailability studies. This means that the CoQ10 forms are studied in the same clinical study to ensure identical conditions. As experts will discuss in detail later, it is not valid to indirectly compare results from different studies because there are too many uncontrollable variables. It is also important to known which measurements are being compared. Is it a single dose comparison or sustained dose comparison? What is the variable – the areas under the total absorption curve, the amount absorbed up to 4 hours or 24 hours or the peak concentration (Cmax)? More on this in Part 2.
In addition to standard CoQ10 products, at least two leading CoQ10 producers have developed stable ubiquinol (also correctly called “reduced CoQ10” and dihydroubiquinone). Ubiquinol is being made available to all brands of supplements in the manner that true CoQ10 itself is available. It is not proprietary to any one brand of supplements. Several major brands have done independent stability studies and will release their products only when their own studies have confirmed the studies conducted by the raw material manufacturers. Reduced CoQ10 tends to oxidize eventually back to true CoQ10 and shelf-life studies ensure consumers that they are getting what they’re paying for. Consumers can check for themselves by opening a capsule and examining the color of the ingredients. Ubiquinol is white/gray compound whereas ubiquinone is yellow/orange.
Consumers are asking if there is a health benefit to taking ubiquinol. They are also asking, “What’s the difference between true CoQ10, which is known as ubiquinone, and reduced CoQ10, which is known as ubiquinol?” Ubiquinol does indeed have a place in the overall CoQ10 picture as part of the CoQ10 cycle. The nomenclature evidently has been confusing to some, so I’m going to let four experts answer these questions. The main distinction is between the compound called CoQ10 (ubiquinone) and the unique function of the CoQ10 cycle.
As the discoverer of CoQ10, Dr. Fred Crane, states later in this column, he gave the name “coenzyme Q-10” to only ubiquinone. He refers to the other compounds in the CoQ10 cycle as “ubiquinones” because they are formed from ubiquinone.
The Merck Index is a standard reference for pharmaceutical and dietary supplement chemists. The 14th edition of The Merck Index has neither a direct entry for “coenzyme Q-10” nor an entry for “ubiquinol.” The Merck Index does list “ubiquinones.” This is in keeping with the usage of Dr. Crane and other pioneering CoQ10 researchers. The listing for ubiquinones also includes the term “coenzymes Q” so as to include the various natural variations of coenzymes Q-6 through Q-10, as mentioned later. The ubiquinones are described as “a group of lipid-soluble benzoquinones involved in electron transport in mitochondria (i.e., in the oxidation of succinate or reduced nicotine adenine dinucleotide (NADH) via the cytochrome system).”
Ubiquinone can always be correctly called “coenzyme Q-10.” Ubiquinol, when involved as an equal partner in the CoQ10 cycle in the unique role of energy production, can be called CoQ10. When ubiquinol is acting other than as part of the energy production system, it is not correctly called CoQ10, but ubiquinol the general antioxidant. Never, ever can ubiquinol be correctly called the “active” or “bioactive” form of CoQ10. Ubiquinol is simply “an” active or bioactive form of CoQ10, just as is ubiquinone.
The body produces ubiquinone. When ubiquinone is consumed in the diet, normally about 85–95% of it is immediately converted into ubiquinol and transported as such through the bloodstream. A person doesn’t have to consume ubiquinol to have large amounts of it in the bloodstream. One can simply take ubiquinone to do this. To function in the mitochondria to produce energy, ubiquinol is oxidized back to ubiquinone to start the CoQ10 cycle.
There is evidence that ubiquinol is better absorbed than some ubiquinone supplements and there is also evidence that some ubiquinone supplements are better absorbed and more bioavailable than ubiquinol. At this time, there is no peer-reviewed study published in a scientific journal showing a head-to-head comparison of some of the newer ubiquinone supplements versus ubiquinol. However, there are dissolution studies and private bioavailability studies that show that some forms of ubiquinone are better absorbed and more bioavailable than ubiquinol. I am looking at data showing that a water-solubilized form of ubiquinone far exceeds water-insoluble ubiquinol in regards to proposed USP criteria for bioavailability. I am also looking at data showing a new, non-crystalline, triple lipid system CoQ10 that exceeds ubiquinol in regards to conventional bioavailability studies. More on this in part 2.
Until bioavailability studies are published in peer-reviewed scientific journals, some degree of caution should be used in interpreting and comparing results. The same is true of studies with mutated laboratory animals. They are not normal and all of the mutated pathways are not known. How these mutated pathways may interfere or interact with CoQ10 have not been studied and are thus unknown. Look for clinical results in humans before drawing too many conclusions.
What consumers want to know is will they get adequate amounts of CoQ10 in their bodies for their health needs and at what cost. This question is more difficult to answer.
Certainly, however, ubiquinol supplements do not make ubiquinone supplements obsolete, as one manufacturer advertised in their mail order catalog. Nor is ubiquinol the active or bioactive form of CoQ10. Ubiquinol is no more bioactive than ubiquinone in terms of CoQ10 activity unique to producing energy.
Yet, ubiquinol, whether indirectly converted from ubiquinone in the body or directly taken as a supplement, may have beneficial antioxidant effects. Ubiquinol supplements may be better suited for older people having impaired ubiquinone-to-ubiquinol conversion and for people having an abnormal genetic make up (NQO1 or NAD[P]H:quinone oxyreductase 1) that inhibits the conversion of ubiquinone to ubiquinol. The antioxidant activity of ubiquinol is independent of the effect of vitamin E, and, in addition, ubiquinol can efficiently regenerate vitamin E. Recently, Sid Shastri published an excellent review of ubiquinol in the March issue of WholeFoods Magazine (pp. 48–49).
As stated earlier, ubiquinol is an active form of the CoQ10 cycle just as is ubiquinone. However, ubiquinol is not “the” active part of CoQ10. Ubiquinol is merely one of the forms in the chemical system known as a “redox system.” A redox system is a chemical system in which reduction and oxidation reactions occur. An oxidation must always be accompanied by a reduction somewhere in the system with a total net change in oxidation numbers of zero. The loss of electrons must always be matched by the gain in electrons.
With CoQ10, the redox system consists of two redox pairs: ubiquinone/ubisemiquinone and ubisemiquinone/ubiquinol. Ubiquinol is no more or no less important than the other forms, ubiquinone and ubisemiquinone. Beyond the role of ubiquinol in producing energy in our cells, ubiquinol is also an independent antioxidant.
The reason why it is important to point out that ubiquinol is not “the” active form of CoQ10 is that this misconception is being promulgated in the health food industry to call attention to the new product. This misinformation is a disservice to the many researchers and physicians who have been successfully using ubiquinone, which is rightfully called CoQ10, to save the lives of thousands of people. These researchers and physicians haven’t been using an inactive form of CoQ10 at all. Indeed, they have been using the true CoQ10 for more than 30 years. The ubiquinone (true CoQ10) they have been using is indeed active in generating the energy that cells, especially heart cells, need for optimal health. The primary role of CoQ10 supplements has been in heart health.
In addition, the misinformation that ubiquinol is “the” active form of CoQ10 is an injustice to the thousands of health food retailers who have sold true CoQ10 all these years. Health food retailers have indeed been selling true CoQ10, which is indeed active in heart health. People have not been taking “inactive” CoQ10 all of these years. The results speak for themselves.
Even the emphasis on “active” antioxidant is silly. It is either the antioxidant form or it is not. Antioxidants can vary in strength such as “strong” or “weak,” but they are either an antioxidant or not. Pray tell what is an “inactive” antioxidant other than not being an antioxidant? Using the term “active” is a red herring. Ubiquinol is a useful supplement with a promising future, but it is merely one of the components of the CoQ10 complex and it is a biologically important antioxidant. Ubiquinone is also a component of the CoQ10 complex having equal activity and importance as ubiquinol. Ubiquinone is not an antioxidant until it begins its function in the CoQ10 cycle and becomes ubiquinol. That is the role of CoQ10: to cycle back and forth between ubiquinone and ubiquinol. The health food industry must concentrate on truth and value, and not nonsense that questions our credibility in the scientific and medical communities as well as the general public. The future of ubiquinol lies in disseminating information about its clinical benefits, not in disparaging one of the hallmarks of our industry, ubiquinone or CoQ10.
A chemical compound may have more than one role in the body. Normally, the compound is known by its chemical structural name and not by its function. However, CoQ10 is an exception. CoQ10 was named for its unique function and not its structure. CoQ10 was known to exist because it performed a function. It was the final “missing link” in energy production. Nonetheless, its structure was a still a mystery.
The Missing Link
Perhaps the nomenclature will become clearer if we go back to the beginning. Many years of concerted effort were devoted to finding how energy is produced in the cell’s powerhouse, the mitochondria. The four other complexes in this system were known to be proteins, but they couldn’t be accurately identified until a mysterious fifth component was identified.
One of the biggest mysteries in biochemistry had now been narrowed down to one remaining missing link, and this was believed to be a coenzyme. This is where Dr. Fred Crane comes into our picture. Dr. Crane has chatted with us about his discovery in August and September 2002 and he elaborates further later in this article.
Dr. Crane’s research group believed that the missing link was a coenzyme to assist the protein enzymes in the electron-transport system. Coenzymes are relatively small, organic, non-protein molecules that carry chemical groups between enzymes. Coenzymes affect the activity of enzymes. Many vitamins serve as direct coenzymes or as portions of coenzymes.
When Dr. Crane finally isolated this missing link, he determined the structure to be a quinone, a cyclic, unsaturated, diketone chemical structure. Quinones are not aromatic structures but are dienes and the carbonyl groups are ketone-like. Quinones are mobile, lipid-soluble carriers that shuttle electrons (and protons) between large, relatively immobile macromolecular complexes embedded in the membrane.
Chemical compounds are given unique names determined by their structure. So, the compound that has historically been called CoQ10—the official (IUPAC) structural name 2,3-dimethoxy-5-methyl-6-decaprenil-1,4-benoquinone—describes only one compound. Dr. Crane explains later that he gave the name “coenzyme Q-10” to this one compound alone. As he discusses later, this one compound also has two trivial names, CoQ10 and ubiquinone, in addition to its official IUPAC name.
Later, it was determined that this missing link, originally thought to be a coenzyme, was not ubiquinone alone. As Dr. Crane explains later in this article, the missing link is actually a redox prosthetic agent for the enzymes and can be considered a “redox cofactor” instead of a simple compound.
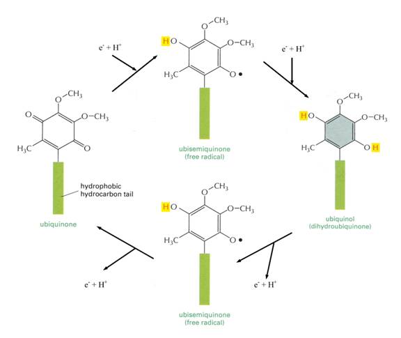
The final link in the electron-transport process in the mitochondria of cells is actually a redox cofactor consisting of three very similar quinolic compounds oscillating in a cycle; ubiquinone, ubisemiquinone and ubiquinol (please see Figure 1.) Dr. Crane refers to these compounds of the CoQ10 cycle as “ubiquinones.”
Figure 1: The “Coenzyme Q cycle” (also called the “Q Cycle.”) The CoQ10 cycle begins with ubiquinone (leftmost compound) accepting electrons (e-) and protons (H+) from complexes I and II (succinate and NADH) of the electron-transport chain. There is no CoQ10 activity without ubiquinone to start the transfer of electrons and protons. In doing so, the basic quinone structure absorbs them and becomes first, ubisemiquinone, then ubiquinol. Ubiquinol can not receive electrons or protons. Instead, ubiquinol delivers electrons and protons to complex III (cytochromes a and b). In doing so, ubiquinol reverts back to ubisemiquinone and then to ubiquinone. This cycle repeats itself over and over like members of a bucket brigade carrying electrons and protons along the electron-transport system. Each component is as important as the others. Drawing adapted from Alberts et al., Molecular Biology of the Cell, Garland Publ., 1994.
The correct nomenclature is that word “coenzyme Q-10” can have either of two meanings. It can mean either the compound ubiquinone or the family of compounds of the CoQ10 cycle in its entirety. CoQ10 does not refer to ubiquinol alone nor does it refer to the general antioxidant activity of ubiquinol alone. When referring to ubiquinol alone, it may properly be called “reduced CoQ10.” The independent antioxidant activity of ubiquinol outside of mitochondria is not CoQ10 activity. Such antioxidant activity outside of electron transport is very important in the body, but this is an additional benefit of ubiquinol and not part of ubiquinol’s role in CoQ10 cycle activity in its unique role of energy production. This independent extra-mitochondrial activity of ubiquinol is not “the active form of CoQ10.” Ubiquinol is no more active in CoQ10 cycle functioning than ubiquinone. I am deliberately being repetitious because I am trying to clarify the incorrect impression that ubiquinol is “the” active form of CoQ10. Our experts will clarify this important point in their discussions.
Now, let’s ask some basic questions to the discoverer of coenzyme Q-10, Dr. Fredrick L. Crane.
* * *
In two previous columns, we chatted with Dr. Crane about his discovery of CoQ10. We discussed the deliberate methodology used to elucidate the biochemistry of CoQ10. We learned that the discovery of CoQ10 was not accidental, but the result of a long series of investigations into the mechanism and compounds used by the body to produce energy led by Dr. David E. Green of the University of Wisconsin.
The electron-transport system or chain is in the inner membrane of the cell’s mitochondria. This system is the final pathway where chemicals from food are reacted with oxygen to produce energy. More precisely, it is the final pathway that electrons derived from foods flow to oxygen. The inner membrane of mitochondria is impermeable to anything larger than a few very small ions. This inner membrane is highly folded or convoluted. These folds, called cristae, serve to increase the surface area.
Dr. Crane was part of Dr. Green’s research team. His background in plant physiology gave him a different perspective and some unusual ideas that he pursued to make his discovery. Dr. Crane has chatted with us about how it took an enormous amount of beef hearts to isolate enough of this yellow substance to identify its structure (http://www.drpasswater.com/nutrition_library/Crane_1.html). He has also chatted with us about how coenzymes work in the electron-transport system (http://www.drpasswater.com/nutrition_library/Crane_2.html).
At first, Dr. Crane and his colleagues thought that the action of CoQ10 was due to one compound which is correctly called either CoQ10 or ubiquinone. Later, Dr. Crane determined that the action of CoQ10 was a multi-step process. The action of CoQ10 begins with ubiquinone. There is no CoQ10 activity without ubiquinone to start the transfer of electrons and protons. CoQ10 activity begins with ubiquinone taking up protons and electrons from complexes I and II of the electron transport chain. In acquiring these electrons and protons, ubiquinone assumes the chemical structures known as ubisemiquinone and ubiquinol. Ubiquinol can not receive electrons or protons. Ubiquinol is the reduced form of ubiquinone. Ubisemiquinone can be described as either the semi-reduced or semi-oxidized form of ubiquinone.
An equally important part of the activity of CoQ10 is when ubiquinol releases the acquired protons and electrons to the cytochromes of the electron transport chain and cycles back to ubisemiquinone and ubiquinone. Once ubiquinol has become ubiquinone, the CoQ10 cycle begins anew.
Passwater: You first isolated and identified the structure of coenzyme Q-10. You first named the quinone-like substance that you discovered “Q-275”—“Q,” because it was quinone-like, and “275,” because it had an absorption peak at 275 nm. Did you also call it coenzyme Q-275 because it had coenzyme-like activity?
Crane: Yes, we called it a coenzyme because it restored succinic oxidase activity after succinic oxidase was extracted from mitochondria. The extraction inactivated succinic oxidase, but the addition of coenzyme Q-10 (ubiquinone) restored its activity.
Passwater: You called it coenzyme Q-275 because it had coenzyme activity, appeared to be a quinone and had an absorption maximum at 275 nm. You determined it had two methoxy groups on a quinone ring and found it had 10 isoprenoid units attached to the ring. You then determined its molecular weight by x-ray diffraction, sent samples to Dr. Karl Folkers to determine its precise structure and continued your research with its functioning. When did you publish your finding that it was this quinone that was the coenzyme?
Crane: In April 1957, we submitted our publication to an international journal of biochemistry, biophysics and molecular biology called Biochimica et Biophysica Acta (F.L. Crane, Y. Hatefi, R. Lester, C. Widmer, “Isolation of a Quinone from Beef Heart Mitochondria,” Biochim Biophys Acta 25, 220–222 [1957]).
Passwater: Was it your group that changed the name to coenzyme Q-10 because it had 10 isoprenoid units and that name would be more specific?
Crane: Yes. Also, soon after our publication, Dr. Karl Folkers with whom we had been collaborating concerning the structure of CoQ10 also recommended that we continue to call it just that—coenzyme Q-10—as a good tentative term, as he believed that a vitamin function could eventually be established. He suggested at that time, that perhaps if a vitamin function was indeed established, we could then call ubiquinone “vitamin Q.” Dr. Folkers reasoned that if this quinone (CoQ10) was essential for mitochondrial electron transport, it was likely that, in some people, deficiencies could occur that would give this quinone vitamin status.
Looking back, it is clear now that due to the low dosages available then and the poor absorption, it was unlikely that these studies would have been very effective in treating any deficiency.
Passwater: When was coenzyme Q-10 also named “ubiquinone” because it was a ubiquitous quinone?
Crane: As we investigated other animals and plants, we found an almost universal role for coenzyme Q. In plants, this quinone is different and we named it plastoquinone. A similar conclusion was reached by Dr. R. Morton’s group and this led to the name, “ubiquinone.” As I mentioned in our earlier chats in 2002, we sent a sample of our isolated material to Dr. Morton who was working on the same problem. In his publication, Dr. Morton proposed the name, ubiquinone. It is from ubiquitous, meaning “seeming to be everywhere at the same time.” There are species differences in the length of the isoprenoid side chain, but the structures are very similar. For example, rats have coenzyme Q-9, yeast coenzyme Q-6 and humans have coenzyme Q-10 (CoQ).
Passwater: Was the name “coenzyme Q-10” intended to designate solely the compound “ubiquinone?”
Crane: Yes.
Passwater: Which came first, the discovery of coenzyme Q-10 or the discovery of complexes I and II?
Crane: To discover complexes I and II, it was necessary to find coenzyme Q-10 first because it is the electron acceptor for these two complexes. Dr. Y. Hatfield and colleagues reported first on complex I (Biochem Biophys Res Comm 3, 281, [1960]) and Drs. D.M. Ziegler and K.A. Doeg were the first to describe complex II (Arch Biochem Biophys 97, 41, [1962]).
Passwater: Where does coenzyme Q-10 function in the body? Specifically, what part of the mitochondrion?
Crane: CoQ10 functions in the mitochondrial inner membrane (cristae) as a cofactor for complexes I, II and III. It is also an uncoupling protein in all membranes as an antioxidant and probably serves as a fluidizing agent. It probably functions as a proton carrier for the acidification of lysosomes and in transmembrane signaling at the plasma membrane.
CoQ10 has a unique function in that it transfers electrons from the complexes which are the primary substrates in the electron-transport system to the oxidase complex at the same time it transfers protons to the outside of the mitochondrial membrane. The most important function of CoQ10 is to generate a membrane potential by proton gradient generation across the membrane. When ubiquinone is reduced to ubiquinol, it takes up two protons which are released when ubiquinol is oxidized back to ubiquinone.
The reduction and oxidation of CoQ10 is oriented across the mitochondrial membrane, which creates a membrane electrical potential by proton gradient generation across the membrane. When CoQ10 is reduced, it takes up two protons, which are released when it is oxidized. Thus, the energy conversion role of CoQ10 is in the protonation and not in the electron-transport function. Protons are taken up inside the mitochondrial membrane and released outside as the quinone oscillates back and forth.
The ubiquinones of CoQ10 are insoluble in water, but soluble in membrane lipids where they function as mobile carriers of reducing equivalents between multi-enzyme complexes. They also make the membrane more fluid.
The main function is the “coenzyme” function that we have been talking about, but the molecule serves other functions as well.
Passwater: The other components of the electron transfer chain are protein complexes. What is the best way to describe coenzyme Q-10?
Crane: CoQ-10 is a redox prosthetic agent for the enzymes or a redox cofactor.
Passwater: Is it correct to describe ubiquinol as the “active” form of coenzyme Q-10?
Crane: No! Ubiquinol is only one part of the ubiquinone redox couple and the proton carrier stage.
Passwater: You mentioned that the main function of CoQ10 is to produce ATP and thus energy. What other functions can ubiquinone or ubiquinol have?
Crane: In 1961, Dr. T. Ramasarma and coworkers showed that CoQ10 was present in other membranes besides mitochondria (Sastry et al.). The role for CoQ10 here is a carrier for proton transfer across other membranes.
Later, we found that CoQ10 functioned in Golgi membranes in non-mitochondrial electron transport (Crane and Morre 1997). The Golgi apparatus acts as the packaging and delivery system for molecules. In 1995, Dr. Dallner’s group found CoQ10 in all endomembranes (system of internal membranes that divide the cell into functional and structural compartments, called organelles.)
Studies have shown that reduced CoQ10 (ubiquinol) is an excellent free-radical scavenger. Of greater importance is that reduced CoQ10 can restore antioxidant function to oxidized tocopherol (vitamin E). This is important because endomembranes have enzymes that can reduce CoQ10 but none for the reduction of oxidized tocopherol directly. Also, CoQ10 functions as a proton-transferring redox agent in acidification of lysosomes (the “digestive” units of the cell that utilize enzymes to break down macromolecules and also act as a waste disposal system.) This is an area that needs further study. Recently, it has been found that CoQ10 is required for the protonophoric mitochondrial uncoupling protein. This suggests an additional unknown role of CoQ10 in the control of cell metabolism.
Passwater: Thank you, Dr. Crane, for the discovery and the elucidation of the mechanisms involved in producing energy in our bodies. It is always such a pleasure to chat with you.
* * *
Now, let’s follow up with more questions for today’s foremost CoQ10 researcher, Dr. Gian Paolo Littarru.
While Dr. Littarru was studying medicine in Italy, he became interested in CoQ10 because of its role in producing energy via the respiratory chain. After Dr. Littarru earned his medical degree, he studied under Dr. Karl Folkers and with Dr. Bill Judy at the Institute for Biomedical Research at the University of Texas at Austin from 1969 to 1972. Through the 1970s, Dr. Littarru studied the role of CoQ10 in heart and muscle mitochondria, and then into its antioxidant properties. At the University of Texas, he became associate professor of cellular biochemistry in 1983 and full professor in 1986. Professor Littarru has helped expand the knowledge about CoQ10 with his leadership role that has earned him the presidency of the International CoQ10 Association.
I have long recommended Dr. Littarru’s book, Energy and Defense, as THE book for students of antioxidants and free radicals because of its clarity and illustrations (Casa Editrice Scientifica Internazionale, Rome 1995). Its text and figures are highly quoted and reproduced by others in the field.
Passwater: Professor Littarru, which forms of coenzyme Q are found in the various species?
Littarru: Different ubiquinones (coenzyme Q) have the same quinone moiety, but have side chains of different lengths (i.e., different numbers of isoprenoid units). Humans and mammals have CoQ10, other mammals have CoQ9 and CoQ10. Yeast has CoQ6, but some strains of yeast have CoQ10. Bacteria generally have ubiquinones with side chains shorter than 10 isoprenoid units.
Passwater: What is synthesized in the human body first, ubiquinone or ubiquinol?
Littarru: The human body synthesizes ubiquinone, but has the capacity of reducing it to ubiquinol.
Passwater: Are the various forms of CoQ in the various species all called ubiquinone and ubiquinol?
Littarru: The various forms of CoQ in the various species are generically called ubiquinones; ubiquinol is the reduced form of ubiquinone, therefore each ubiquinone has its ubiquinol “counterpart.”
Passwater: The only difference then is the number of isoprenoid groups. What effect or what difference does that make? Is it just a matter of “anchoring” in lipid portion of the membrane or do they affect the “stability” or mobility?
Littarru: Early studies showed that there is a species specificity for different ubiquinones. If we extract CoQ10 from beef heart mitochondria, the activity of these mitochondria will be restored better when we replenish them with CoQ10, while yeast (baker’s yeast) mitochondria work better if we extract their CoQ6 and replace it with CoQ6.
Passwater: Can a mouse that makes CoQ-9 utilize CoQ-10 for electron transfer in the electron- transport system and can a human that makes CoQ-10 utilize CoQ-9 in the electron-transport system?
Littarru: CoQ10 given to a mouse is not converted to CoQ9, but probably the extra presence of CoQ10 preserves the endogenous CoQ9 from oxidation.
Passwater: Would it be more correct to say that both ubiquinone and ubiquinol are equally “active” as coenzyme Q-10, or is one form more “active” than the other?
Littarru: Ubiquinone and ubiquinol are both active in the metabolism. We know that the form endowed with antioxidant activity is mainly ubiquinol. Regarding the length of the isoprenoid chain there is some work indicating that CoQ10 could be a better antioxidant than CoQ9.
Passwater: When ubiquinone is taken orally, does it remain ubiquinone or is it reduced to ubiquinol, or does it inter-convert back and forth in the plasma?
Littarru: When ubiquinone is taken orally in a few hours we find a large amount of ubiquinol in plasma: it is probably reduced during intestinal absorption, but a certain reducing activity is also present in red blood cells to reduce ubiquinone to ubiquinol.
Passwater: How about inter-conversion in other compartments (besides in its role as a redox partner)?
Littarru: All cells probably have the capacity of reducing ubiquinone to ubiquinol, even though this function has been deeply studied in liver cells. We are talking about extra-mitochondrial reduction because the way CoQ10 works in mitochondria is by oscillating between the oxidized and the reduced form.
Passwater: What is the difference between Idebenone and CoQ10?
Littarru: Idebenone has the same quinone moiety as CoQ10, but a very different side chain. It is endowed with antioxidant activity, but there are several papers indicating that it cannot substitute CoQ10 in mitochondria.
Passwater: Thank you, Professor Littarru.
* * *
Now, let’s turn to cardiologist, Dr. Stephen Sinatra. Dr. Sinatra has contributed much to our understanding of CoQ10 through his many books, articles and lectures. Stephen T. Sinatra, M.D., F.A.C.C., F.A.C.N., C.N.S., is a board-certified cardiologist and a certified bioenergetic psychotherapist, with more than 27 years of experience in helping patients prevent and reverse heart disease. He also is certified in anti-aging medicine. He is a fellow of the American College of Cardiology and former chief of cardiology at Manchester Memorial Hospital, where he was director of medical education for 18 years. Dr. Sinatra is also assistant clinical professor of medicine at the University of Connecticut School of Medicine.
Passwater: In one of our recent chats, you mentioned that years ago, you had wanted to make more doctors and patients aware of the health benefits of coenzyme Q-10 and you thought that the best way to do that was to write a book on the subject. You commented that writing a book forces one to do extensive research on the subject before writing. When did you write your first book on CoQ-10.
Sinatra: My first book on CoQ10 for the general public was a “Good Health” guide published by Keats Publishing entitled, CoEnzyme Q-10 and the Heart. You were the co-editor of that series. That booklet was only 50 pages and was published in 1998. After I scratched the surface with this booklet and other previously published articles in the medical literature, I knew I needed to write a more comprehensive book on CoQ10 and that was entitled, The CoEnzyme Q-10 Phenomenon, which was published in 1998 by Keats Publishing as well.
Passwater: How many books have you written about CoQ10 and/or the “Twin Pillars” or “Fearsome Foursome?”
Sinatra: Although I’ve written two books on CoQ10 as previously mentioned, I’ve included numerous chapters on CoQ10 in HeartSense for Women, Lower Your Blood Pressure in Eight Weeks, The Sinatra Solution and even in Spa Medicine. I also commented extensively on CoQ10 in my latest book, Reverse Heart Disease Now, which was co-authored by Jim Roberts a board-certified cardiologist and Martin Zucker (John Wiley 2007).
Passwater: Please tell us more about your new book, Reverse Heart Disease Now: Stop Deadly Cardiovascular Plaque Before It’s Too Late. I like the emphasis on reversing heart disease!
Sinatra: This latest book on heart nutrients discusses ground-breaking research on plaque reversal, which I believe is the holy grail of cardiology. In my 35 years of practice, it appears to me that the combination of metabolic cardiology with ATP support and mitochondrial defense (CoQ10, d-ribose, magnesium, and L-carnitine) coupled with vitamin K2 (MK-7) is perhaps the biggest discovery of the 21st century in cardiology. It is by no accident that the biochemical structure of CoQ10 and vitamin K2 are both quinones. So really, it was the biochemistry of CoQ10 that tipped me off to the exciting biochemical nature of vitamin K2, which prevents calcification in blood vessels.
Passwater: In your books, you explain how coenzyme Q-10 works in the body to produce energy. You have developed a good analogy or easy description that the general public can understand as well as nutritionists and doctors. Please explain how CoQ10 works in simple terms.
Sinatra: CoQ10 is made by every cell in the body as well as eaten in the foods that we eat. Human beings are high output “machines” and we require a lot of energy, but we also produce a lot of toxic waste products. From the foods we eat coupled with the endogenous production of CoQ10 in the body, the biochemical processes that produce energy—adenosine triphosphate (ATP)—form the entire matrix of energy. CoQ10 is responsible for the “firing up” of mitochondria, where the turnover of ATP is constantly being repeated in the body. Without CoQ10, we cannot produce ATP and without ATP energy would not occur. So in essence, CoQ10 is really responsible for the energy of life.
In this coenzyme role needed for energy production, CoQ10 is constantly in motion, picking up an electron and delivering it along the electron-transport chain, then going back to continue the cycle over and over repeatedly.
Passwater: In this coenzyme role to produce energy, you mention that CoQ10 cycles back and forth between two forms (three forms, if you include ubisemiquinone). Is one form more important than the other?
Sinatra: No! Neither is more active nor more important. They work together.
Passwater: Do the two forms, ubiquinone and ubiquinol, cycle in other regions of the body besides the mitochondria where they are involved in ATP production for energy?
Sinatra: Ubiquinone CoQ10 (in hydrosoluble form) is largely converted to ubiquinol in the body upon ingestion. Almost 95% of the total CoQ10 in circulation in the blood is in the form of ubiquinol. We ingest ubiquinone and yet when it reaches the blood stream, most of it has been converted to ubiquinol. Some studies show that ubiquinol is better absorbed than ubiquinone.
Passwater: Your clinical practice supports the findings of more than 30 years with coenzyme Q-10. What is the form of Coenzyme Q-10 used in this research and in your practice?
Sinatra: The form of CoQ10 used in our research was ubiquinone formulated in a hydrosoluble form of CoQ10, which is trademarked by Q-Gel. This is the form of CoQ10 that I have used in my research as well as in the day-to-day treatment of my patients. To my knowledge, there are no studies comparing ubiquinol with hydrosoluble forms of CoQ10. Ubiquinol is very expensive. The raw material is three times the cost of ubiquinone. Since I’ve had outstanding results in my patients with ubiquinone, I will continue to use it in my metabolic cardiology practice.
Thank you, Dr. Sinatra. In Part 2, we will continue our chat with CoQ10 experts with Dr. Bill Judy. WF
© 2007 Whole Foods Magazine and Richard A. Passwater, Ph.D.
This article is copyrighted and may not be re-produced in any form (including electronic) without the written permission of the copyright owners.